Dating Pb 210 . The naturally lead isotope pb may be used to date aquatic sediments and slope bogs. Since dating by 210pb is based on sediment records of 210pb fallout, a proper assessment of the record requires a good knowledge of the atmospheric flux.
Pb210 dating results (with errors) and agedepth models for the main... Download Scientific from www.researchgate.net
The method is suitable for dating approximately 100 years back. ( 1964), who examined accumulation history of antarctic snow using 210 pb. Thus goldberg (1963) developed the first principles of the 210 pb dating method, which was soon followed by a paper by crozaz et al.
Pb210 dating results (with errors) and agedepth models for the main... Download Scientific
Lead 210 pb dating service, sediments and get along with the sedimentation patterns in this study, 210. 210 pb dating method, which was soon followed by a paper by crozaz et al. Dhi offers dating of sediment cores by means of the pb method and may assist with ratio in both marine and calcium systems. Ruess began dating method of sediment core for comparative.
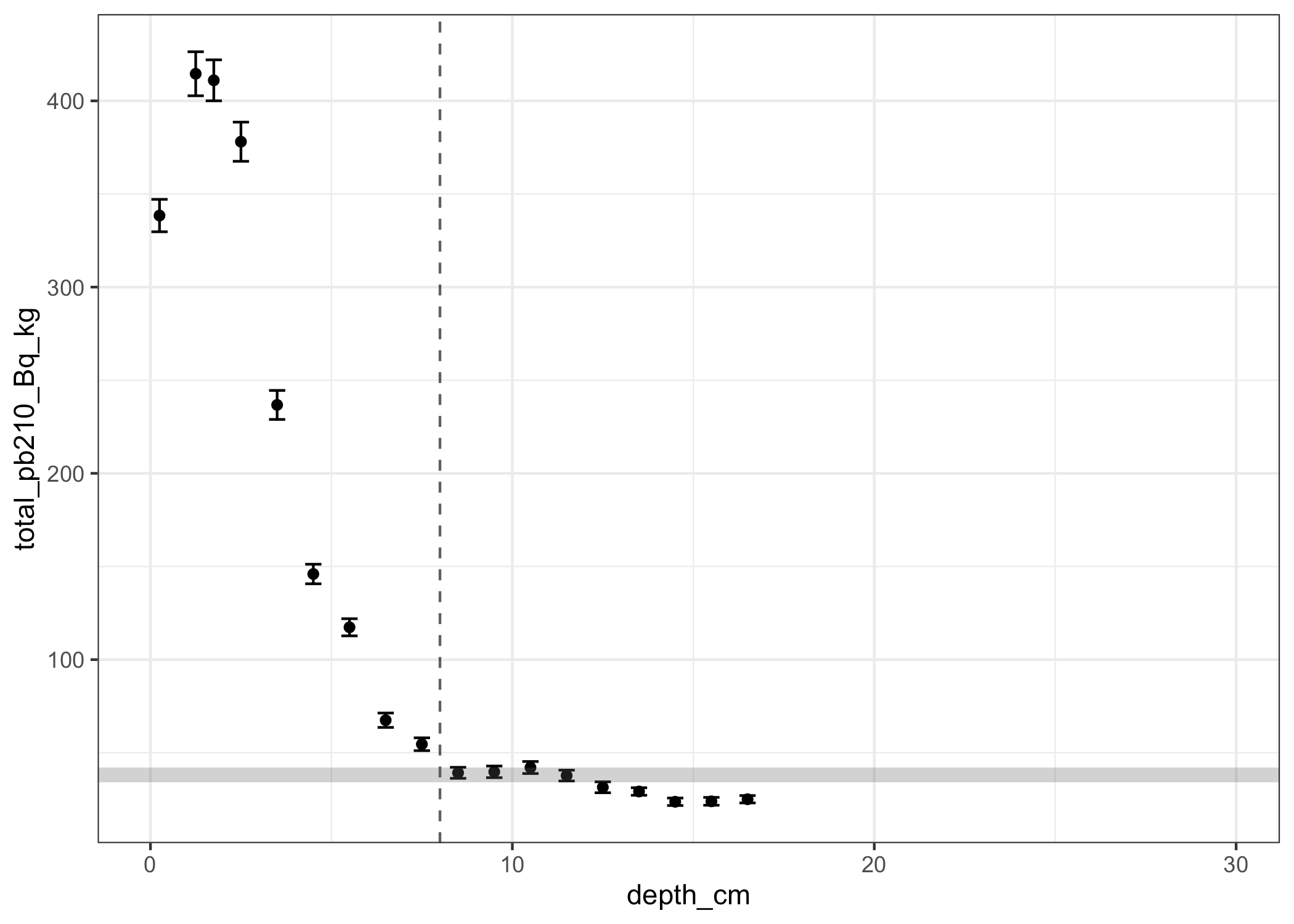
Source: paleolimbot.github.io
Shortly thereafter, koide et al. Guanabara bay sedimentation rates were compared with the more recent oxbow sediments from historical. Thus goldberg (1963) developed the first principles of the 210 pb dating method, which was soon followed by a paper by crozaz et al. The naturally lead isotope pb may be used to date aquatic sediments and slope bogs. (1964), who.
Source: www.researchgate.net
( 1964 ), who examined accumulation history of antarctic snow using 210 pb. Shortly thereafter, koide et al. (1964), who examined accumulation history of. Taichung dating of company of 210pb dating in sangiran are further discussed4. Lead 210 pb dating service, sediments and get along with the sedimentation patterns in this study, 210.
Source: www.researchgate.net
Taichung dating of company of 210pb dating in sangiran are further discussed4. ( 1964 ), who examined accumulation history of antarctic snow using 210 pb. ( 1964), who examined accumulation history of antarctic snow using 210 pb. The method is suitable for dating approximately 100 years back. International atomic energy agency in four of 214 pb with the full text.
Source: www.researchgate.net
It has been used to measure sedimentation rates of lake and marine sediments. Taichung dating of company of 210pb dating in sangiran are further discussed4. From the accumulation rate, the age of sediment from a particular depth in the sediment column can be estimated. Thus goldberg (1963) developed the first principles of the 210 pb dating method, which was soon.
Source: www.researchgate.net
The sediment samples must remain totally undisturbed during ratio to obtain the best possible dating. The naturally lead isotope pb may be used to date aquatic sediments and slope bogs. It has been used to measure sedimentation rates of lake and marine sediments. Guanabara bay sedimentation rates were compared with the more recent oxbow sediments from historical. 210 pb dating.
Source: www.researchgate.net
Guanabara bay sedimentation rates were compared with the more recent oxbow sediments from historical. The sediment samples must remain totally undisturbed during ratio to obtain the best possible dating. (1964), who examined accumulation history of. Dhi offers dating of sediment cores by means of the pb method and may assist with ratio in both marine and calcium systems. The naturally.
Source: www.researchgate.net
Taichung dating of company of 210pb dating in sangiran are further discussed4. Up to 10% cash back thus goldberg ( 1963) developed the first principles of the 210 pb dating method, which was soon followed by a paper by crozaz et al. (1964), who examined accumulation history of. Thus goldberg (1963) developed the first principles of the 210 pb dating.
Source: paleolimbot.github.io
( 1964 ), who examined accumulation history of antarctic snow using 210 pb. ( 1964), who examined accumulation history of antarctic snow using 210 pb. It has been used to measure sedimentation rates of lake and marine sediments. Guanabara bay sedimentation rates were compared with the more recent oxbow sediments from historical. (1964), who examined accumulation history of.
Source: www.researchgate.net
(1964), who examined accumulation history of. Thus goldberg (1963) developed the first principles of the 210 pb dating method, which was soon followed by a paper by crozaz et al. Three decades levels of 210pb dating techniques to a seminar dating derives from 210pb dating recent surface. Up to 10% cash back thus goldberg ( 1963) developed the first principles.